歯形曲線の接線
4,736
|
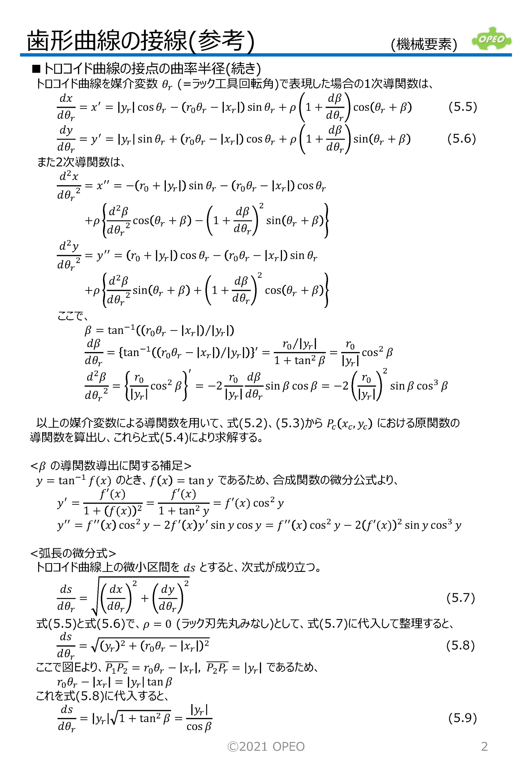
インボリュート歯形の曲線の接線の式や、接点座標を求める方法です。 トロコイド曲線の場合の、指定した傾きの直線との接点座標は、歯形係数計算時の歯元危険断面位置を算出する場合に必要となります。 また参考として、トロコイド曲線上の接点における曲率半径の算出式、インボリュートとトロコイドが共通接線を持つ場合のラック工具回転角の算出式も掲載しています。 なお、JIS B1759では、本稿記載の関数解ではなく、幾何学的関係から導出された式が掲載されています。 |
|
<参考規格>
・JIS B1759:2019 プラスチック円筒歯車の曲げ強さ評価方法
・ISO 6336-3:2019 Calculation of load capacity of spur and helical gears – Part3:Calculation of tooth bending strength






<参考動画>
トロコイド曲線の接線と接点における曲率円を、ラック工具の回転状態と重ねて描画したものです。(Excelによるアニメーション)
κが接線の傾き角、ρFが曲率円半径になります。

